Отчет об исполнении государственной программы по итогам 2019 года «Гражданское общество и государственная национальная политика в Ульяновской области» на 2014–2021 годы
1. Аналитическая записка с приведением анализа причин несвоевременного выполнения программных мероприятий.
По подпрограмме «Содействие развитию институтов гражданского общества и поддержка социально ориентированных некоммерческих организаций и добровольческой (волонтерской) деятельности в Ульяновской области» на 2014-2021 годы:
Освоение средств из областного бюджета Ульяновской области составило 21668,78104 тысяч рублей из запланированных 22603,5 тысяч рублей. Остаток средств по подпрограмме составил 934,71896 тысячи рублей.
По мероприятию 1.1. «Предоставление субсидий СО НКО на реализацию социально ориентированных программ (проектов)»:
В соответствии с постановлением Правительства Ульяновской области от 28.07.2017 №375-П «Об утверждении Порядка определения объёма и предоставления субсидий из областного бюджета Ульяновской области социально ориентированным некоммерческим организациям в целях финансового обеспечения реализации социально ориентированных программ (проектов) и признании утратившими силу отдельных нормативных правовых актов (отдельного положения нормативного правового акта) Правительства Ульяновской области» выплаты получили 52 социально ориентированные некоммерческие организации, было заключено 52 соглашения. По итогам 1 этапа конкурса 32 (из 129) социально ориентированные некоммерческие организации признаны победителями: Распоряжение Правительства Ульяновской области от 21.03.2019 №137-пр. Сумма субсидий составила 7982,82526 тыс. рублей. По итогам 2 этапа конкурса 20 (из 50) социально ориентированных некоммерческих организаций признаны победителями: Распоряжение Правительства Ульяновской области от 25.07.2019 №390-пр. Сумма субсидий составила 4000,0 тыс. рублей. Общая сумма выплат составила 11982,82526 тыс. рублей. Денежные средства были перечислены в полном объёме.
По мероприятию 2.1. «Предоставление СО НКО по результатам конкурсов грантов в форме субсидий в целях возмещения части их затрат в связи с обеспечением прохождения работниками СО НКО и привлеченными СО НКО добровольцами стажировок и участия указанных работников и добровольцев в мероприятиях, проводимых в других субъектах Российской Федерации»:
В соответствии с постановлением Правительства Ульяновской области от 09.09.2015 № 454-П «Об утверждении Порядка предоставления социально ориентированным некоммерческим организациям по результатам конкурсов грантов в форме субсидий в целях возмещения затрат работников социально ориентированных некоммерческих организаций и привлечённых добровольцев (волонтёров), связанных с прохождением стажировок и участием в мероприятиях, проводимых в других субъектах Российской Федерации» выплаты получили 13 социально ориентированных некоммерческих организаций, было заключено 14 соглашений:
в соответствии с распоряжением Правительства Ульяновской области от 08.04.2019 № 160-пр были возмещены затраты
4 организациям на общую сумму 48,2732 тыс. рублей;
в соответствии с распоряжением Правительства Ульяновской области от 16.09.2019 № 467-пр были возмещены затраты
3 организациям на общую сумму 37,7922 тыс. рублей;
в соответствии с распоряжением Правительства от 23.12.2018 № 673-пр были возмещены затраты 6 организациям на общую сумму 87,0736 тыс. рублей.
Одна социально ориентированная некоммерческая организация (Автономная некоммерческая организация «Агентство социально-культурных проектов», автономная некоммерческая организация «Детско-молодёжный развивающийся спортивно-оздоровительный догуговыйппоцентр «Лучик») выплату в 2019 году не получила в связи с технической ошибкой банка. На данный момент вопрос о перечислении денежных находится в работе в финансовом управлении администрации Губернатора Ульяновской области. Освоение средств по данному мероприятию составило 173,1390 тысяч рублей из запланированных 200,0 тысяч рублей. Остаток средств по мероприятию составил 26,861 тысяч рублей.
По мероприятию 3.1. «Осуществление комплекса мероприятий, направленных на развитие инфраструктуры поддержки деятельности СО НКО (конференции, семинары, встречи, в том числе декада СО НКО)» в течении 2019 года было проведено 35 мероприятий. Освоение средств по данному мероприятию составило 263,5700. Остаток средств по мероприятию составил 36,4300 тыс. рублей (не оплачен один договор в связи с техническими неполадками Управления Федерального казначейства по Ульяновской области. На данный момент этот вопрос находится в работе в финансовом управлении администрации Губернатора Ульяновской области).
По мероприятию 3.2. «Организация и проведение Гражданского форума»:
ХI Гражданский форум Ульяновской области состоялся 12 декабря 2019 года вОГАУК «Ленинский мемориал».
В рамках форума были проведены:
– Интерактивная выставка НКО и национальные проекты;
– Дискуссионная площадка «Участие НКО в реализации национальных проектов»;
– Стратегическая сессия Совета при Губернаторе по развитию гражданского общества и правам человека;
– Площадка для руководителей Общественных палат муниципальных образований и Советов по вопросам общественного контроля муниципальных образований Ульяновской области на тему: «Основные тенденции реализации этноконфессиональной политики на территории Ульяновской области: проблемы, перспектива, опыт;
–Пленарное заседание.
В форуме приняли участие не менее 300 человек: представители всех муниципальных образований Ульяновской области и исполнительных органов государственной власти, руководители социально ориентированных некоммерческих организаций и территориальных общественных самоуправлений, члены Общественной палаты Ульяновской области, гражданские активисты.
По данному мероприятию денежные средства в размере 467,5 тыс. рублей выплачены не были в связи с техническими неполадками Управления Федерального казначейства по Ульяновской области. На данный момент этот вопрос находится в работе в финансовом управлении администрации Губернатора Ульяновской области.
По мероприятию 3.3. «Предоставление субсидий юридическим лицам, не являющимся государственными (муниципальными) учреждениями, индивидуальными предпринимателями, физическими лицами, в целях возмещения затрат, связанных с обеспечением гарантий равенства политических партий, представленных в Законодательном Собрании Ульяновской области, при освещении их деятельности региональным телеканалом и радиоканалом»:
В соответсвтии с Законом Ульяновской области от 03.08.2010 № 113-ЗО «О гарантиях равенства политических партий, представленных в Законодательном Собрании Ульяновской области, при освещении их деятельности региональным телеканалом и радиоканалом» в течении года освещалась деятельность 4 партий представленных в ЗСО Ульяновской области. Освоение средств по данному мероприятию составило 3199,9992 тысяч рублей из запланированных 3200,0 тысяч рублей. Остаток средств по мероприятию составил 0,0008 тысяч рублей.
По мероприятию 3.4. «Предоставление лицам, осуществляющим полномочия сельского старосты, ежемесячной денежной выплаты»:
В соответствии с постановлением Правительства Ульяновской области от 27.02.2019 № 84-П «Об утверждении распределения иных межбюджетных трансфертов из областного бюджета Ульяновской области, предоставляемых бюджетам поселений и городских округов Ульяновской области в целях финансового обеспечения расходных обязательств, связанных с осуществлением ежемесячных денежных выплат лицам, осуществляющим полномочия сельских старост» выплаты получили 498 старост, было заключено всего 134 соглашений.
Освоение средств по данному мероприятию составило 5599,24758 тысяч рублей из запланированных 5986,0 тысяч рублей. Остаток средств по мероприятию составил 386,75242 тысяч рублей.
По мероприятию 4.1. «Выплата ежегодных премий Губернатора Ульяновской области за выдающиеся достижения в области правозащитной, благотворительной и добровольческой (волонтерской) деятельности»:
В соответствии с Указом Губернатора Ульяновской области от 23.04.2018 № 45 «О ежегодных премиях Губернатора Ульяновской области за выдающиеся достижения в области правозащитной, благотворительной, добровольческой (волонтёрской) деятельности» в 2019 году было выплачено 450,0 тыс. рублей (3 премии по 150,0 тыс. рублей – распоряжение Губернатора Ульяновской области от 06.12.2019 №1462-р). Денежные средства освоены в полном объёме.
Подпрограмма «Укрепление единства российской нации и этнокультурное развитие народов России на территории Ульяновской области» на 2015 - 2021 годы
На 01.01.2020 года было запланировано освоение 13746,5 тыс. рублей (11993,7 из областного бюджета, 1752,6 из федерального бюджета). Освоено – 13518,87651 тыс. руб. (11766,2812 из областного бюджета, 1752,59531 из федерального бюджета). Остаток 227,62349 из них 110 тыс. рублей кредиторская задолженность по неоплаченным контрактам/договорам, 46,76954 тыс. рублей – экономия по итогам торгов, 20,85395 тыс. рублей-восстановленные средства субсидии, 50,0 тыс.рублей –не освоенные.
Было запланировано проведение следующих мероприятий и расходы по ним:
Мероприятие 1.1. «Проведение ежегодного областного конкурса научных и публицистических работ "Мы - многонациональный народ России" 20,0 тыс.рублей – выполнено в срок, средства освоены в полном объёме.
Мероприятие 1.2. «Организация издания и изготовление книги о народах Ульяновской области» -50,0 тыс. рублей. Мероприятие проведено. Средства освоены в объёме 49,96346 тыс. рублей. Остаток 0,03654 тыс.руб. – экономия по итогам торгов.
Мероприятие 1.3. «Предоставление субсидий организациям, осуществляющим производство, распространение и тиражирование социально значимых программ в сфере электронных средств массовой информации» – 4000,0 тыс. рублей – выполнено в срок в запланированном объёме.
Мероприятие 2.1. «Организация распространения на региональных телеканалах социальной рекламы, направленной на профилактику экстремизма» 50,0 тыс. рублей. Мероприятие выполнено. Контракт на сумму 50,0 тыс. рублей не оплачен.
Мероприятие 3.1.» Проведение конкурса на соискание премии Губернатора Ульяновской области "За вклад в развитие межнациональных отношений в Ульяновской области"» - 40,0 тыс. рублей. Выполнено в срок, средства освоены в полном объёме.
Мероприятие 3.2. Предоставление по результатам конкурсов субсидий СО НКО, реализующим на территории Ульяновской области проекты в сфере укрепления гражданского единства и гармонизации межнациональных отношений, направленные в том числе на распространение знаний о народах России, проживающих в Ульяновской области, на формирование гражданского патриотизма, противодействие фальсификации истории, поддержку традиционных духовных и нравственных ценностей 6967,569 тыс. рублей. (ОБ -5214,967 ФБ -1752,6). По итогам грантового конкурса заключено 22 соглашения на сумму 6967,569 тыс. рублей. По итогам года возвращены средства в размере 20,85395 коп. (из них 4 руб. 69 коп. из федерального бюджета, 20,41623 тыс.рублей из областного бюджета).
Мероприятие 4.1. Организация и проведение обучающих курсов для мигрантов, прибывающих в Ульяновскую область 50,0 тыс. рублей. Мероприятие проведено. Средства освоены в объёме 49,8 тыс. рублей. Остаток 0,2 тыс.руб. – экономия по итогам торгов.
Мероприятие 4.2. «Организация издания брошюр информационно-справочного характера для мигрантов, прибывающих в Ульяновскую область» 60,0 тыс. руб. Мероприятие проведено. Договор на сумму 60,0 тыс. рублей не оплачен.
Мероприятие 5.1. «Проведение социально значимых мероприятий, направленных на обеспечение духовно-нравственного воспитания населения, приуроченных к памятным датам и национальным праздникам народов, проживающих в Ульяновской области» – 2182,433 тыс. рублей. Запланированные мероприятия проведены в полном объёме. Освоение 2135,9 тыс. рублей. 46,533 тыс. экономия по итогам торгов.
Мероприятие 5.2. «Организация экскурсий на конкурсной основе для лучших обучающихся общеобразовательных организаций, находящихся на территории Ульяновской области, с посещением ими объектов культурного наследия (памятников истории и культуры) народов Российской Федерации» -50,0 тыс. рублей. Исполнитель по данному мероприятия Министерство молодёжного развития Ульяновской области. Мероприятие ими не проведено, средства не освоены.
Мероприятие 6.1 Организация и проведение социально значимых мероприятий, направленных на укрепление статуса русского языка как государственного языка России 82,6. Выполнено в срок, средства освоены в полном объёме.
Мероприятие 7.1 Проведение социально значимых мероприятий, направленных на сохранение и развитие традиций казачества на территории Ульяновской области 193,9. Выполнено в срок в запланированном объёме.
Подпрограмма «Развитие информационного пространства на территории Ульяновской области» на 2015-2021 годы:
за 2019 год исполнение сложилось на уровне 99,97% (ассигнования текущего года – 159 494,80 тыс. рублей, кассовый расход – 159 449,22672 тыс. рублей), не исполнены средства в сумме 45573 рубля 28 копеек:
Мероприятие 1.1. «Производство продукции сетевого издания и предоставления доступа к нему» - в части финансирования - исполнение 100%. В части выполнения целевого индикатора «Количество публикаций, размещенных сетевыми изданиями, учредителями которых являются областные автономные учреждения Ульяновской области (единиц)» составило 88,34%. - по плану 44333 единицы, фактически 39181 единица. Выполнение данного целевого индикатора контролируется по данным государственных заданий для Областных Автономных учреждений, имеющих сетевые издания. В течении отчетного года государственные задания неоднократно корректировались, т.к., например, для районных печатных СМИ, в связи с началом разработки сайтов, эти индикаторы введены впервые в 2019 году, и, поэтому уточнялись по мере понимания реалистичности выполнения данного показателя. По итогам года согласно уточненным государственным заданиям и отчетам ОАУ по их выполнению, этот показатель выполнен на 100%. В Государственную же программу не все корректировки были своевременно внесены, поэтому отраженный там показатель (44333) выше суммарного показателя по всем соответствующим государственным заданиям (39163 единиц) что, в итоге, и повлияло на процент выполнения индикатора.
Мероприятия 1.2 по обеспечению деятельности вещателей, функции и полномочия учредителя которых осуществляет правительство Ульяновской области, исполнение 100%.
Мероприятия 1.3 «Обеспечение деятельности ОГКУ "Телекомпания "Арсенал. Выполнение мероприятия осуществляет Правительство Ульяновской области. Финансирование плановое составило 8680,30 тысяч рублей, исполнение – 8677,7016 тысяч рублей, или 99,97% плана (неисполнение 2598,40 рублей сложилось в связи с экономией по статьям 211 и 213, и скорректированной в сторону уменьшения суммой пени по страховым взносам).
Мероприятие 2.1 предусматривает предоставление субсидий автономным учреждениям, осуществляющим деятельность в сфере печатных средств массовой информации, исполнение 100%.
Мероприятие 2.2. исполнение 100%.
Мероприятие 3.1. в части количества мероприятий (творческих конкурсов, тематических семинаров и т.п.), запланированных на девять месяцев 2019 года полностью выполнено. Плановое финансирование составило 700,00 тысяч рублей, исполнение – 657,02512 тысяч рублей, или 93,86% плана. Неисполнение составило 42974,88 рублей, в том числе: в связи с экономией расходов, сложившейся при проведении мероприятий - 31474,88 рублей, и, кроме того, в связи с неисполнением платежей Минфином Ульяновской области по заключенному и выполненному соглашению с ООО «Коннект», образовалась кредиторская задолженность перед указанной организацией в размере 11500,0 рублей.
Мероприятие 3.2. (мероприятия, посвященные Дню российской печати) исполнение 100%.
Мероприятия 3.3 Подпрограммы «Содействие развитию институтов гражданского общества и поддержка социально ориентированных некоммерческих организаций и добровольческой (волонтёрской) деятельности в Ульяновской области» на 2014-2021 годы; выполнено. Плановое финансирование составило 3200,00 тысяч рублей, исполнение – 3199,99920 тысяч рублей, или 100% плана (неисполнение 80 копеек).
Мероприятие 1.3. Подпрограммы «Укрепление единства российской нации и этнокультурное развитие народов России на территории Ульяновской области» на 2015-2021 годы, исполнение 100%.
2. Интегральная оценка эффективности реализации государственной программы.
По подпрограмме «Содействие развитию институтов гражданского общества и поддержка социально ориентированных некоммерческих организаций и добровольческой (волонтерской) деятельности в Ульяновской области» на 2014-2021 годы:
1) Оценка эффективности реализации мероприятий государственной программы (за исключением проектов, реализуемых в составе государственной программы) (СР) рассчитывается по следующей формуле:
СР1 – увеличение числа участников социально значимых проектов, программ и получателей социальных услуг, оказываемых СО НКО населению Ульяновской области
СР1 = 1000/1000x100% = 100%
CР2 – рост уровня доверия населения к СО НКО
CР2 = 76/76х100% = 100%
∑СР1+СР2=100+100=200%
СР = 200/2 = 100%
2) Оценка соотношения фактического и запланированного объемов финансового обеспечения реализации мероприятий государственной программы (УФ) рассчитывается по следующей формуле:
ФУФ - фактический объем финансового обеспечения реализации государственной программы
ФУФ = 21668,78104 тыс. рублей;
УФП - запланированный объем финансового обеспечения реализации государственной программы
УФП = 22603,5 тыс. рублей.
УФ = 21668,78104/22603,5х100%=95,8%
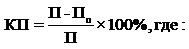
3) Оценка качества планирования целевых индикаторов (КП) рассчитывается по следующей формуле:

П - общее количество целевых индикаторов
П=6;
По - количество целевых индикаторов, значения которых отличаются от допустимого предела
По = 0.
КП = 6/6х100% = 100%
4) Оценка эффективности реализации проектов, реализуемых в составе государственной программы (ЭРп): в случае если государственной программой (подпрограммой) не предусмотрена реализация проектов, то значение ЭРП принимается равным 100%.
ЭРп= 100%.
5) Интегральная оценка эффективности реализации государственной программы (И) рассчитывается по формуле:
И = 0,3 x СР + 0,3 x ЭРп + 0,3 x УФ + 0,1 x КП
И =0,3х100% + 0,3х100% + 0,3х95,8 + 0,1х100% = 30+30+28,74+10 =98,74%
По итогам оценки эффективности реализации государственной программы - подпрограмма «Содействие развитию институтов гражданского общества и поддержка социально ориентированных некоммерческих организаций и добровольческой (волонтерской) деятельности в Ульяновской области» на 2014 - 2021 годы признаётся эффективной.
Подпрограмма«Укрепление единства российской нации и этнокультурное развитие народов России на территории Ульяновской области» на 2015 - 2021 годы
1) Оценка эффективности реализации мероприятий государственной программы (за исключением проектов, реализуемых в составе государственной программы) (СР) рассчитывается по следующей формуле:
СР1 – Повышение уровня информированности жителей Ульяновской области о целях и задачах реализации государственной национальной политики (опубликование в СМИ информационных материалов (в том числе репортажей) о событиях, памятных датах, мероприятиях этноконфессиональной направленности
СР1 = 97/88x100% = 110%
CР2 – Увеличение количества организаций, получивших в рамках реализации государственной программы государственную финансовую поддержку
CР2 = 6/5х100% = 120%
CP3-Увеличение доли граждан, оценивающих межнациональные отношения в Ульяновской области как стабильные, добрососедские, в общей численности граждан Российской Федерации, проживающих в Ульяновской области
CР3 = 81/70х100% = 115.7%
∑СР1+СР2+СР3=110+120+115.7=345.7%
СР = 345.7/3 = 115.23%
2) Оценка соотношения фактического и запланированного объемов финансового обеспечения реализации мероприятий под
программы (УФ) рассчитывается по следующей формуле:

ФУФ - фактический объем финансового обеспечения реализации подпрограммы
ФУФ = 13518,87651 тыс. рублей;
УФП - запланированный объем финансового обеспечения реализации подпрограммы
УФП = 13746,5 тыс. рублей.
УФ = 13518,87651/13746,5х100%=98,34%
3) Оценка качества планирования целевых индикаторов (КП) рассчитывается по следующей формуле:
П - общее количество целевых индикаторов
П=9;
По - количество целевых индикаторов, значения которых отличаются от допустимого предела
По = 2.
КП = 7/9х100% = 77,7%
4) Оценка эффективности реализации проектов, реализуемых в составе государственной программы (ЭРп): в случае если государственной программой (подпрограммой) не предусмотрена реализация проектов, то значение ЭРП принимается равным 100%.
ЭРп= 100%.
5) Интегральная оценка эффективности реализации государственной программы (И) рассчитывается по формуле:
И = 0,3 x СР + 0,3 x ЭРп + 0,3 x УФ + 0,1 x КП
И =0,3х115,23% + 0,3х100% + 0,3х98,34+ 0,1х77,7% = 34,57+30+29,5+7,77=101,84%
По итогам оценки эффективности реализации подпрограммы является эффективной.
Подпрограмма «Развитие информационного пространства на территории Ульяновской области» на 2015-2021 годы:
1) Оценка эффективности реализации мероприятий государственной программы (за исключением проектов, реализуемых в составе государственной программы) (СР) рассчитывается по следующей формуле:

СР1 – увеличение охвата населения Ульяновской области информацией, распространяемой периодическими печатными изданиями, редакции (издатели или распространители) которых являются получателями мер государственной поддержки
СР1 = 58/58x100% = 100%
СР2 – увеличение охвата населения Ульяновской области информацией, распространяемой электронными средствами массовой информации, редакции (распространители или вещатели) которых являются получателями мер государственной поддержки
СР2 = 105/105х100% = 100%
∑СР1+СР2=100+100=200%
СР = 200/2 = 100%
2) Оценка соотношения фактического и запланированного объемов финансового обеспечения реализации мероприятий государственной программы (УФ) рассчитывается по следующей формуле:

ФУФ - фактический объем финансового обеспечения реализации государственной программы
ФУФ = 159449,22672 тыс. рублей;
УФП - запланированный объем финансового обеспечения реализации государственной программы
УФП = 159494,8000 тыс. рублей.
УФ = 159449,22672/159494,8000х100 = 99,9 %
3) Оценка качества планирования целевых индикаторов (КП) рассчитывается по следующей формуле:
П - общее количество целевых индикаторов
П=6;
По - количество целевых индикаторов, значения которых отличаются от допустимого предела
По = 0.
КП = 6/6х100% = 100%
4) Оценка эффективности реализации проектов, реализуемых в составе государственной программы (ЭРп): в случае если государственной программой (подпрограммой) не предусмотрена реализация проектов, то значение ЭРП принимается равным 100%.
ЭРп= 100%.
5) Интегральная оценка эффективности реализации государственной программы (И) рассчитывается по формуле:
И = 0,3 x СР + 0,3 x ЭРп + 0,3 x УФ + 0,1 x КП
И =0,3х100% + 0,3х100% + 0,3х99,9 + 0,1х100% = 30+30+29,97+10 =99,97%
По итогам оценки эффективности реализации государственной программы - подпрограмма Развитие информационного пространства на территории Ульяновской области» на 2014-2021 годы признаётся эффективной.
Общая интегральная оценка = (И1 + И2 + И3)/3 = (99,97 + 101,84 + 98,74) / 3 = 300,55/3 = 100,2 %
По итогам оценки эффективности реализации государственной программы «Гражданское общество и государственная национальная политика в Ульяновской области» на 2014–2021 гг. признаётся эффективной.
3.Сведения об использовании бюджетных ассигнований государственной программы.
|
№ п/п |
Наименование раздела, мероприятия |
Распорядитель средств |
Планируемый объём финансирования, тыс. руб. |
Предоставленное финансирование, тыс. руб. |
Освоение, тыс. руб. |
Заключено контрактов на отчетную дату |
||||||
|
ФБ[1] |
ОБ[2] |
МБ[3] |
ФБ |
ОБ |
МБ |
ФБ |
ОБ |
МБ |
|
|||
|
Подпрограмма «Содействие развитию институтов гражданского общества и поддержка социально ориентированных некоммерческих организаций и добровольческой (волонтёрской) деятельности в Ульяновской области» на 2014-2021 годы
|
||||||||||||
|
1. |
Основное мероприятие «Осуществление на конкурсной основе финансовой поддержки социально ориентированных программ (проектов), реализуемых СО НКО» |
Правительство Ульяновской области |
|
12 000,0 |
|
|
12 000,0 |
|
|
11982,82526 |
|
|
|
1.1. |
Предоставление субсидий СО НКО на реализацию социально ориентированных программ (проектов) |
Правительство Ульяновской области |
|
12 000,0 |
|
|
12 000,0 |
|
|
11982,82526 |
|
В 2019 году заключено 52 соглашения с СО НКО на реализацию социально значимых проектов (распоряжения Правительства Ульяновской области) |
|
2. |
Основное мероприятие «Проведение мероприятий в сферах обучения работников и (или) членов СО НКО и обмена опытом между ними» |
Правительство Ульяновской области |
|
200,0 |
|
|
200,0 |
|
|
173,139 |
|
|
|
2.1. |
Предоставление СО НКО по результатам конкурсов грантов в форме субсидий в целях возмещения части их затрат в связи с обеспечением прохождения работниками СО НКО и привлеченными СО НКО добровольцами стажировок и участия указанных работников и добровольцев в мероприятиях, проводимых в других субъектах Российской Федерации |
Правительство Ульяновской области |
|
200,0 |
|
|
200,0 |
|
|
173,139 |
|
В 2019 году заключено 14 соглашений с СО НКО, из них 1 СО НКО денежные средства выплачены не были |
|
3. |
Основное мероприятие «Проведение мероприятий, направленных на обеспечение развития гражданского общества и организацию взаимодействия составляющих его элементов» |
Правительство Ульяновской области |
|
9 953,5 |
|
|
9 953,5 |
|
|
9 062,81678 |
|
|
|
3.1. |
Осуществление комплекса мероприятий, направленных на развитие инфраструктуры поддержки деятельности СО НКО (конференции, семинары, встречи, в том числе декада СО НКО) |
Правительство Ульяновской области |
|
300,0 |
|
|
300,0 |
|
|
263,570 |
|
Проведение конференций, семинаров, встреч |
|
3.2. |
Организация и проведение Гражданского форума |
Правительство Ульяновской области |
|
467,5 |
|
|
467,5 |
|
|
0,0 |
|
12.12.2019 г. прошел ежегодный Гражданский форум, По состоянию на январь 2020 года оплата не прошла |
|
3.3. |
Предоставление субсидий юридическим лицам, не являющимся государственными (муниципальными) учреждениями, индивидуальными предпринимателями, физическими лицами, в целях возмещения затрат, связанных с обеспечением гарантий равенства политических партий, представленных в Законодательном Собрании Ульяновской области, при освещении их деятельности региональным телеканалом и радиоканалом |
Правительство Ульяновской области |
|
3200,0 |
|
|
3200,0 |
|
|
3199,9992 |
|
Осуществление закупок услуг, связанных с информированием о деятельности политических партий. |
|
3.4. |
Предоставление лицам, осуществляющим полномочия сельского старосты, ежемесячной денежной выплаты |
Правительство Ульяновской области |
|
5 986,0 |
|
|
5 986,0 |
|
|
5 599,24758 |
|
Заключено 134 соглашения (выплаты получили 498 старост) |
|
4. |
Основное мероприятие «Выплата ежегодных премий Губернатора Ульяновской области» |
Правительство Ульяновской области |
|
450,0 |
|
|
450,0 |
|
|
450,0 |
|
|
|
4.1. |
Выплата ежегодных премий Губернатора Ульяновской области за выдающиеся достижения в области правозащитной, благотворительной и добровольческой (волонтерской) деятельности |
Правительство Ульяновской области |
|
450,0 |
|
|
450,0 |
|
|
450,0 |
|
3 премии по 150,0 тыс. рублей (распоряжение Губернатора Ульяновской области от 06.12.2019 №1462-р) |
|
|
Итого по подпрограмме |
|
22 603,5 |
|
|
22 603,5 |
|
|
21668,78104 |
|
Остаток 934,71896 тыс. рублей. Из них 509,7364 тыс. рублей кредиторская задолженность по неоплаченным контрактам |
|
|
Подпрограмма«Укрепление единства российской нации и этнокультурное развитие народов России на территории Ульяновской области» на 2015 - 2021 годы
|
||||||||||||
|
1. |
Основное мероприятие «Обеспечение гражданской идентичности и этнокультурного развития народов России, проживающих в Ульяновской области» |
Правительство Ульяновской области |
|
4 070,0 |
|
|
4 070,0 |
|
|
4069,96346 |
|
|
|
1.1. |
Проведение ежегодного областного конкурса научных и публицистических работ "Мы - многонациональный народ России" |
Правительство Ульяновской области |
|
20,0 |
|
|
20,0 |
|
|
20,0 |
|
|
|
1.2. |
Организация издания и изготовление книги о народах Ульяновской области |
Правительство Ульяновской области |
|
50,0 |
|
|
50,0 |
|
|
49, 96346 |
|
Остаток средств 0,03654 тыс. рублей. Экономия по итогам проведенных торгов |
|
1.3. |
Предоставление субсидий организациям, осуществляющим производство, распространение и тиражирование социально значимых программ в сфере электронных средств массовой информации |
Управление информационной политики администрации Губернатора Ульяновской области |
|
4000,0 |
|
|
4000,0 |
|
|
4000,0 |
|
|
|
2. |
Основное мероприятие "Профилактика экстремизма на национальной и религиозной почве" |
Правительство Ульяновской области |
|
50,0
|
|
|
50,0 |
|
|
0,0 |
|
|
|
2.1 |
Организация распространения на региональных телеканалах социальной рекламы, направленной на профилактику экстремизма |
Правительство Ульяновской области |
|
50,0 |
|
|
50,0 |
|
|
0,0 |
|
50,0 тыс. рублей кредиторская задолженность (контракт не оплачен) |
|
3. |
Основное мероприятие "Государственно-общественное партнерство в сфере реализации государственной национальной политики" |
Правительство Ульяновской области |
1752,6 |
5254,967 |
|
1752,6 |
5254,967 |
|
1752,59531 |
5234,11774 |
|
|
|
3.1. |
Проведение конкурса на соискание премии Губернатора Ульяновской области "За вклад в развитие межнациональных отношений в Ульяновской области" |
Правительство Ульяновской области |
|
40,0 |
|
|
40,0 |
|
0,0 |
40,0 |
|
|
|
3.2. |
Предоставление по результатам конкурсов субсидий СО НКО, реализующим на территории Ульяновской области проекты в сфере укрепления гражданского единства и гармонизации межнациональных отношений, направленные в том числе на распространение знаний о народах России, проживающих в Ульяновской области, на формирование гражданского патриотизма, противодействие фальсификации истории, поддержку традиционных духовных и нравственных ценностей |
Правительство Ульяновской области |
1752,6 |
5214,967 |
0,0 |
1752,6 |
5214,967 |
|
1752,59531
|
5194,11774 |
|
Восстановлено 20853,95, из них 20416,23 руб. из областного бюджета, 4,69 рубля из федерального бюджета. |
|
4. |
Основное мероприятие "Социально-культурная адаптация и интеграция мигрантов в Ульяновской области" |
Правительство Ульяновской области |
|
110,0 |
|
|
110,0 |
|
|
49,8 |
|
0,2 тыс. рублей экономия по итогам торгов, 60,0 тыс. рублей кредиторская задолженность |
|
4.1. |
Организация и проведение обучающих курсов для мигрантов, прибывающих в Ульяновскую область |
Правительство Ульяновской области |
|
50,0 |
|
|
50,0 |
|
|
49,8 |
|
0,2 тыс. рублей экономия по итогам торгов |
|
4.2. |
Организация издания брошюр информационно-справочного характера для мигрантов, прибывающих в Ульяновскую область |
Правительство Ульяновской области |
|
60,0 |
|
|
60,0 |
|
|
0,0 |
|
60,0 тыс. рублей кредиторская задолженность (контракт не оплачен) |
|
5. |
Основное мероприятие "Этнокультурное развитие народов, проживающих на территории Ульяновской области" |
Министерство искусства и культурной политики Ульяновской области; Министерство молодежного развития Ульяновской области |
|
2232,433 |
|
|
2232,433 |
|
|
2135,9 |
|
96,533 тыс.рублей, из них 46,533 тыс. экономия по итогам торгов, 50,0 тыс. рублей – не израсходованы в связи с не проведением мероприятия
|
|
5.1. |
Проведение социально значимых мероприятий, направленных на обеспечение духовно-нравственного воспитания населения, приуроченных к памятным датам и национальным праздникам народов, проживающих в Ульяновской области |
Министерство искусства и культурной политики Ульяновской области |
|
2182,433 |
|
|
2182,433 |
|
|
2135,9 |
|
46,533 тыс. экономия по итогам торгов, |
|
5.2. |
Организация экскурсий на конкурсной основе для лучших обучающихся общеобразовательных организаций, находящихся на территории Ульяновской области, с посещением ими объектов культурного наследия (памятников истории и культуры) народов Российской Федерации |
Министерство молодежного развития Ульяновской области |
|
50,0 |
|
|
50,0 |
|
|
0,0 |
|
50,0 тыс. рублей – не израсходованы в связи с не проведением мероприятия |
|
6. |
Основное мероприятие "Русский язык и языки народов России" |
Министерство образования и науки Ульяновской области |
|
82,6 |
|
|
82,6 |
|
|
82,6 |
|
|
|
6.1. |
Организация и проведение социально значимых мероприятий, направленных на укрепление статуса русского языка как государственного языка России |
Министерство образования и науки Ульяновской области |
|
82,6 |
|
|
82,6 |
|
|
82,6 |
|
|
|
7. |
Основное мероприятие "Российское казачество" |
Министерство искусства и культурной политики Ульяновской области |
|
193,9 |
|
|
193,9 |
|
|
193,9 |
|
|
|
7.1. |
Организация и проведение социально значимых мероприятий, направленных на развитие российского казачества на территории Ульяновской области |
Министерство искусства и культурной политики Ульяновской области |
|
193,9 |
|
|
193,9 |
|
|
193,9 |
|
|
|
|
Итого по подпрограмме |
1752,6 |
11993,9 |
|
1752,6 |
11993,9 |
|
1752,59531 |
11766,28120 |
|
Остаток средств 227,62349 |
|
|
Подпрограмма«Развитие информационного пространства на территории Ульяновской области» на 2015 - 2021 годы
|
||||||||||||
|
1. |
Основное мероприятие «Мероприятия в сфере обеспечения деятельности юридических лиц, осуществляющих производство и выпуск теле-, радиопрограмм, связанных с освещением социально значимых событий общественной, экономической и культурной жизни в Ульяновской области» |
Правительство Ульяновской области |
|
47858,08008 |
|
|
47858,08008 |
|
|
47855,48168 |
|
|
|
1.1. |
Производство продукции сетевого издания и предоставление доступа к нему |
Правительство Ульяновской области |
|
3636,78008 |
|
|
3636,78008 |
|
|
3636,78008 |
|
|
|
1.2. |
Обеспечение деятельности вещателей, функции и полномочия учредителя которых осуществляет правительство Ульяновской области |
Правительство Ульяновской области |
|
35541,0000 |
|
|
35541,0000 |
|
|
35541,00000 |
|
|
|
1.3. |
Обеспечение деятельности ОГКУ «Телекомпания «Арсенал» |
Правительство Ульяновской области |
|
8680,30000 |
|
|
8680,30000 |
|
|
8677,70160 |
|
|
|
2. |
Основное мероприятие "Мероприятия в сфере обеспечения деятельности юридических лиц, осуществляющих производство и выпуск периодических печатных изданий" |
Правительство Ульяновской области |
|
109476,719 |
|
|
109476,719 |
|
|
109476,71992 |
|
|
|
2.1. |
Предоставление субсидий автономным учреждениям , осуществляющим деятельность в сфере печатных средств массовой информации, на выполнение государственного задания |
Правительство Ульяновской области |
|
107409,469 |
|
|
107409,469 |
|
|
107409,46959 |
|
|
|
2.2. |
Предоставление субсидий областным автономным учреждениям, осуществляющим деятельность в сфере печатных средств массовой информации, на иные цели |
Правительство Ульяновской области |
|
2067,25033 |
|
|
2067,25033 |
|
|
2067,25033 |
|
|
|
3. |
Основное мероприятие «Мероприятия в сфере информационной политики» |
Правительство Ульяновской области |
|
2160,00000 |
|
|
2160,00000 |
|
|
2117,02512 |
|
|
|
3.1. |
Проведение творческих конкурсов и тематических семинаров в сфере средств массовой информации |
Правительство Ульяновской области |
|
700,00000 |
|
|
700,00000 |
|
|
657,02512 |
|
|
|
3.2. |
Проведение мероприятий, посвященных Дню российской печати |
Правительство Ульяновской области |
|
1460,000 |
|
|
1460,000 |
|
|
1460,000 |
|
|
|
|
Итого по подпрограмме |
|
159494,8000 |
|
|
159494,8000 |
|
|
159449,22672 |
|
Остаток 45,57 тыс. рублей из них 11,500 тыс. рублей кредиторская задолженность по неоплаченным контрактам |
|
|
|
Итого по программе |
|
195844,8 |
|
|
195844,8 |
|
|
192884,28896 |
|
|
|
4. Сведения о достижении целевых индикаторов (с нарастающим итогом).
|
№ п/п |
Наименование целевого индикатора |
Единица измерения |
Плановое значение |
Фактическое значение |
Процент достижения целевого индикатора (Факт/План) |
Обоснование отклонений значений индикатора |
|
Подпрограмма «Содействие развитию институтов гражданского общества и поддержка социально ориентированных некоммерческих организаций и добровольческой (волонтёрской) деятельности в Ульяновской области» на 2014-2021 годы |
||||||
|
1. |
Количество мероприятий, проведённых исполнительными органами государственной власти Ульяновской области и органами местного самоуправления муниципальных образований Ульяновской области с участием СО НКО |
шт. |
35 |
35 |
100 |
|
|
2. |
Количество СО НКО, получивших субсидии из областного бюджета |
шт. |
50 |
52 |
104 |
Увеличение значения данного индикатора связано с количеством поданных заявок на меньшие суммы. |
|
3. |
Количество СОНКО, функционирующих на территории Ульяновской области в отчетном году |
шт. |
1530 |
1800 |
117 |
Выполнение данного индикатора контролируется по данным Министерства Юстиции Российской Федерации. На 31.01.2019 количество зарегистрированных СО НКО составило 1800. |
|
4. |
Количество информационных матери-алов, опубликованных в периодических печатных СМИ, а также радио-, теле- и иных программ, вышедших в свет (в эфир), освещающих деятельность СО НКО |
шт. |
150 |
150 |
100 |
|
|
5. |
Количество привлеченных СО НКО добровольцев (волонтеров) для реализации проектов |
чел. |
350 |
350 |
100 |
|
|
6. |
Количество предоставляемых минут в целях освещения политических партий, представленных в Законодательном Собрании Ульяновской области, при освещении их деятельности регио-нальными телеканалом и радиоканалом |
мин. |
480 |
480 |
100 |
|
|
Подпрограмма «Укрепление единства российской нации и этнокультурное развитие народов России на территории Ульяновской области» на 2015– 2021 годы |
||||||
|
1. |
Доля граждан, положительно оценивающих состояние межнациональных отношений, в общей численности граждан Российской Федерации, проживающих в Ульяновской области (по результатам социологических исследований) |
процентов |
70,0 |
81 |
115,71 |
Стабильная ситуация в межконфессиональной сфере, оперативное реагирование на потенциальные конфликты и разрешение спорных ситуаций до перерастания их в открытый конфликт |
|
2. |
Уровень толерантного отношения жителей Ульяновской области к представителям другой национальности (по результатам социологических исследований) |
процентов |
83,0 |
84 |
101,2 |
Отклонения в пределах погрешности |
|
3. |
Доля граждан, подтверждающих отсутствие в свой адрес дискриминации по признакам национальности, языка, религии, в общем количестве опрошенных граждан Российской Федерации, проживающих на территории Ульяновской области (по результатам социологических исследований) |
процентов |
97,0 |
98 |
101,03 |
Отклонения в пределах погрешности |
|
4. |
Количество СО НКО, получивших в рамках реализации государственной программы субсидии в целях финансового обеспечения реализации проектов в сфере духовно-просветительской деятельности |
единиц |
5 |
6 |
120,0 |
В связи с тем, что 2019 год был объявлен Годом национального единства, в течение годы было реализовано больше проектов |
|
5. |
Численность участников мероприятий, направленных на этнокультурное развитие народов России |
тыс. чел. |
30,0 |
34,1 |
113,7 |
В связи с тем, что 2019 год был объявлен Годом национального единства, в течение годы было реализовано больше проектов, проведено больше мероприятий |
|
6. |
Количество участников мероприятий, направленных на укрепление общероссийского гражданского единства |
тыс. чел. |
15,0 |
18,7 |
124,7 |
В связи с тем, что 2019 год был объявлен Годом национального единства, в течение годы было реализовано больше проектов, проведено больше мероприятий |
|
7. |
Количество участников мероприятий, направленных на сохранение и развитие русского языка и языков народов России |
тыс. чел. |
2,0 |
8,5 |
423,4 |
Вместо запланированных 2 мероприятий, проведено 3, в том числе этнографический Фестиваль-конкурс творчества народов Поволжья «Многоцветие земли Симбирской» на территории Ульяновской области с охватом более 5 т.р. |
|
8. |
Количество участников мероприятий, проводимых при участии российского казачества, направленных на сохранение и развитие самобытной казачьей культуры и воспитание подрастающего поколения в духе патриотизма |
тыс. чел. |
21,0 |
21,5 |
102,3 |
Отклонения в пределах погрешности |
|
9. |
Количество социально значимых программ на национальных языках народов Поволжья |
единиц |
88 |
88 |
100% |
Нет отклонений |
|
Подпрограмма«Развитие информационного пространства на территории Ульяновской области» на 2015– 2021 годы
|
||||||
|
1.1. |
Количество публикаций, размещенных сетевыми изданиями, учредителями которых являются областные автономные учреждения Ульяновской области (единиц) |
ед. |
44333 |
39163 |
88,34 |
Выполнение данного целевого индикатора контролируется по данным государственных заданий для Областных Автономных учреждений, имеющих сетевые издания. В течении отчетного года государственные задания неоднократно корректировались, т.к., например, для районных печатных СМИ, в связи с началом разработки сайтов, эти индикаторы введены впервые в 2019 году, и, поэтому уточнялись по мере понимания реалистичности выполнения данного показателя. По итогам года согласно уточненным государственным заданиям и отчетам ОАУ по их выполнению, этот показатель выполнен на 100%. В Государственную же программу не все корректировки были своевременно внесены, поэтому отраженный там показатель (44333) выше суммарного показателя по всем соответствующим государственным заданиям (39163 единиц) что, в итоге, и повлияло на процент выполнения индикатора. |
|
1.2. |
Количество размещенных записей / часовых радиопрограмм / новостных радиопрограмм вещателями, функции и полномочия учредителя которых осуществляет Правительство Ульяновской области (единиц) |
ед. |
7410 записей год |
7410 |
100 |
|
|
ед. |
240 радиопрограмм год |
246 |
100 |
|
||
|
ед. |
24700 новостных радиопрограмм в год |
24700 |
100 |
|
||
|
2.1. |
Количество выпущенных печатных изданий средств массовой информации (штук) |
шт. |
1494 |
1494 |
100 |
|
|
3. |
Количество мероприятий, проведенных в сфере информационной политики (единиц) |
ед. |
10 |
10 |
100 |
|
5. Сведения о достижении показателей ожидаемого эффекта от реализации мероприятий государственной программы.
|
№ п/п |
Наименование ожидаемого результата |
Единица измерения |
Плановое значение |
Фактическое значение |
Процент достижения ожидаемого результата (План/Факт) |
Обоснование отклонений значений ожидаемого результата |
||
|
Подпрограмма «Содействие развитию институтов гражданского общества и поддержка социально ориентированных некоммерческих организаций и добровольческой (волонтёрской) деятельности в Ульяновской области» на 2014-2021 годы |
||||||||
|
1. |
Увеличение числа участников социально значимых проектов, программ и получателей социальных услуг, оказываемых СО НКО населению Ульяновской области |
чел. |
1000 |
1000 |
100% |
|
||
|
2. |
Рост уровня доверия населения к СО НКО |
процентов |
76 |
76 |
100% |
|
||
|
Подпрограмма «Укрепление единства российской нации и этнокультурное развитие народов России на территории Ульяновской области» на 2015– 2021 годы |
||||||||
|
1. |
Повышение уровня информированности жителей Ульяновской области о целях и задачах реализации государственной национальной политики (опубликование в СМИ информационных материалов (в том числе репортажей) о событиях, памятных датах, мероприятиях этноконфессиональной направленности), единиц |
Ед. |
88 |
Видеосюжетов-97, Публикаций – 347 |
110% |
В связи с тем, что 2019 год был объявлен Годом национального единства, в течение годы было большое количество публикаций, посвящённых межконфессиональной тематике |
||
|
2. |
Увеличение количества организаций, получивших в рамках реализации государственной программы государственную финансовую поддержку, единиц |
Ед. |
5 |
6 |
120,0% |
В связи с тем, что 2019 год был объявлен Годом национального единства, в течение годы было реализовано больше проектов |
||
|
3. |
Увеличение доли граждан, оценивающих межнациональные отношения в Ульяновской области как стабильные, добрососедские, в общей численности граждан Российской Федерации, проживающих в Ульяновской области, процентов |
Процент |
70,0 |
81 |
115,7% |
Стабильная ситуация в межконфессиональной сфере, оперативное реагирование на потенциальные конфликты и разрешение спорных ситуаций до перерастания их в открытый конфликт. |
||
|
Подпрограмма «Развитие информационного пространства на территории Ульяновской области» на 2015– 2020 годы: |
||||||||
|
1. |
Увеличение охвата населения Ульяновской области информацией, распространяемой периодическими печатными изданиями, редакции (издатели или распространители) которых являются получателями мер государственной поддержки (базовое значение – 55) |
процентов |
58
|
58 |
100% |
|
||
|
2. |
Увеличение охвата населения Ульяновской области информацией, распространяемой электронными средствами массовой информации, редакции (распространители или вещатели) которых являются получателями мер государственной поддержки (базовое значение – 100) |
процентов |
105 |
105 |
100% |
|
||
6. Итоговый отчет об исполнении плана-графика реализации государственной программы.
|
Наименование |
Исполнитель мероприятия / целевого индикатора (ИОГВ[4], ФИО[5] ответственного исполнителя, должность, телефон) |
Плановый срок реализации мероприятия |
Код бюджетной классификации |
Объем предусмотренных средств област-ного бюджета Ульяновской области на реализацию государственной программы на отчетный год/значение целе-вого индикатора |
Результат реализации мероприятий ГП (краткое описание) |
||||
|
Начало |
Окончание |
запланированные |
достигнутые |
||||||
|
Подпрограмма «Содействие развитию институтов гражданского общества и поддержка социально ориентированных некоммерческих организаций и добровольческой (волонтёрской) деятельности в Ульяновской области» на 2014-2021 годы |
|||||||||
|
1.Основное мероприятие «Осуществление на конкурсной основе финансовой поддержки социально ориентированных программ (проектов), реализуемых социально ориентированными некоммерческими организациями»
|
Правительство Ульяновской области (И.о. начальника управления по общественным проектам администрации Губернатора Ульяновской области Гематдинова М.Н. 58-91-71) |
февраль
|
декабрь |
203/0113 |
12 000,0 |
Проведение конкурсного отбора среди СО НКО |
Проведение конкурсного отбора среди СО НКО |
||
|
Целевой индикатор Количество СО НКО, получивших субсидии из областного бюджета Ульяновской области |
|
февраль
|
декабрь |
Х |
Х |
|
|
||
|
203.25. Предоставление субсидий из областного бюджета СО НКО на финансовое обеспечение реализации социально ориентированных программ (проектов)
|
Правительство Ульяновской области (и.о. начальника управления по общественным проектам администрации Губернатора Ульяновской области Гематдинова М.Н. 58-91-71) |
февраль
|
декабрь |
203/0113/8110200000 |
12 000,0 |
Проведение конкурсного отбора среди СО НКО на реализацию социально-значимых проектов, заключение соглашений с победителями конкурса, перечисление денежных средств, сбор отчётности по использованию субсидий |
Проведён конкурсный отбор средиСО НКО, заключены соглашения с победителями, перечислены денежные средства, собрана отчётная документация |
||
|
2.Основное мероприятие «Проведение мероприятий в сферах обучения работников и (или) членов СО НКО и обмена опытом между ними»
|
Правительство Ульяновской области (и.о. начальника управления по общественным проектам администрации Губернатора Ульяновской области Гематдинова М.Н. 58-91-71) |
январь |
декабрь |
203/0113 |
200,0 |
|
|
||
|
Целевой индикатор Количество СО НКО, функционирующих на территории Ульяновской области в отчетном году |
|
январь |
декабрь |
Х |
Х |
|
|
||
|
2.1. Предоставление СО НКО по результатам конкурсов грантов в форме субсидий в целях возмещения части их затрат в связи с обеспечением прохождения работниками СО НКО и привлеченными СО НКО добровольцами стажировок и участия указанных работников и добровольцев в мероприятиях, проводимых в других субъектах Российской Федерации |
Правительство Ульяновской области (И.о. начальника управления по общественным проектам администрации Губернатора Ульяновской области Гематдинова М.Н., 58-91-71) |
январь |
декабрь |
203/0113/8110400000 |
200,0 |
Проведение конкурсного отбора среди СО НКО на возмещение затрат, связанных со стажировками в других регионах РФ, заключение соглашений с победителями конкурса, перечисление денежных средств |
Проведён конкурсный отбор среди СО НКО на возмещение затрат, связанных со стажировками в других регионах РФ, заключены соглашения с победителями конкурса, денежные средства перечислены |
||
|
3.Основное мероприятие «Проведение мероприятий, направленных на обеспечение развития гражданского общества и организацию взаимодействия составляющих его элементов»
|
Директор ОГКУ «Аппарат Общественной палаты Ульяновской области» Терехин С.Н. 44-10-32
|
январь |
декабрь |
203/0113 |
9 953,5 |
|
|
||
|
Целевой индикатор Количество мероприятий, проведенных ИОГВ Ульяновской области и ОМСУ МО Ульяновской области с участием СО НКО |
|
январь |
декабрь |
Х |
Х |
|
|
||
|
Целевой индикатор Количество предоставляемых минут в целях освещения политических партий, представленных в ЗСО Ульяновской области, при освещении их деятельности региональным телеканалом и радиоканалом |
|
январь |
декабрь |
Х |
Х |
|
|
||
|
3.1 Осуществление комплекса мероприятий, направленных на развитие инфраструктуры поддержки деятельности СО НКО (конференции, семинары, встречи, в том числе декада СО НКО)
|
Директор ОГКУ «Аппарат Общественной палаты Ульяновской области» Терехин С.Н. 44-10-32
|
январь |
декабрь |
203/0113/811500000 |
300,0 |
Проведение семинаров, встреч, деканы СО НКО |
Проведены семинары, встречи, декада СО НКО. Всего проведено мероприятий в количестве 35 шт. |
||
|
3.2. Организация и проведение Гражданского форума
|
Директор ОГКУ «Аппарат Общественной палаты Ульяновской области» Терехин С.Н. 44-10-32
|
декабрь |
декабрь |
203/0113/811500000 |
467,5 |
Организация и проведение Гражданского Форму |
ХI Гражданский форум Ульяновской области состоялся 12 декабря 2019 года вОГАУК «Ленинский мемориал».
|
||
|
3.3.Субсидии юридическим лицам, не являющимися государственными (муниципальными) учреждениями, индивидуальными предпринимателями, физическими лицами, в целях возмещения затрат, связанных с обеспечением гарантий равенства политических партий, представленных в Законодательном собрании Ульяновской области, при освещении их деятельности региональным телеканалом и радиоканалом. |
Правительство Ульяновской области (начальник финансового управления администрации Губернатора Ульяновской области С.И.Будейкина, 41-24-05) |
январь |
декабрь |
203 1201 8110598709 |
3200,00000
|
Осуществление закупок товаров, работ, услуг, связанных с информированием о деятельности политических партий. |
Финансирование по данному мероприятию будет выполняется по мере фактического оказания услуг, предоставления соответствующей документации а также в соответствии с графиком платежей. |
||
|
3.4. Предоставление лицам, осуществляющим полномочия сельского старосты, ежемесячной денежной выплаты |
Правительство Ульяновской области (начальник управления муниципальной политики Архипова М.К., 58-91-76) |
Январь 2019 г. |
Декабрь 2019 г. |
203/0113/8110573080 |
5986,0 |
Заключение соглашений с лицами, осуществляющими полномочия сельского старосты, выплата ежемесячных выплат |
Финансирование по данному мероприятию выполнялось по мере заключения соглашений |
||
|
4. Основное мероприятие «Выплата ежегодных премий Губернатора Ульяновской области» |
Правительство Ульяновской области (И.о. начальника управления по общественным проектам администрации Губернатора Ульяновской области Гематдинова М.Н., 58-91-71) |
Октябрь 2019 г. |
Декабрь 2019 г. |
203/0113/81100800000 |
450,0 |
|
|
||
|
4.1. Выплата ежегодных премий Губернатора Ульяновской области за выдающиеся достижения в области правозащитной, благотворительной и добровольческой (волонтёрской) деятельности» |
(И.о. начальника управления по общественным проектам администрации Губернатора Ульяновской области Гематдинова М.Н., 58-91-71) |
Октябрь 2019 г. |
Декабрь 2019 г. |
203/0113/81100800000 |
450,0 |
Сбор заявок на конкурс, проведение заседания комиссии, определение победителей, выплата денежных средств |
Заявки собраны, победители определены, денежные средства перечислены |
||
|
Итого по подпрограмме |
22603,5 |
|
|
||||||
|
Подпрограмма«Укрепление единства российской нации и этнокультурное развитие народов России на территории Ульяновской области» на 2015– 2021 годы |
|||||||||
|
1. Основное мероприятие «Обеспечение гражданской идентичности и этнокультурного развития народов России, проживающих в Ульяновской области» |
Правительство Ульяновской области |
|
|
203/0113 |
4070,0 |
Х |
Х |
||
|
1.1.Проведение ежегодного областного конкурса научных и публицистических работ «Мы – многонациональный народ России» |
Правительство Ульяновской области |
Июль |
Ноябрь |
203/0113/8120100000 |
20,0 |
Проведение ежегодного областного конкурса научных и публицистических работ «Мы – многонациональный народ России» |
Конкурс проведён. Итоги подведены. Выплачены премии 2 победителям. |
||
|
1.2.Организация издания и изготовление книги о народах Ульяновской области |
Правительство Ульяновской области |
Ноябрь |
декабрь |
203/0113/8120100000 |
50,0 |
Заключение контракта на разработку книги. Получение макета книги |
Заключен договор на изготовление макета книги. Макет книги подготовлен. |
||
|
1.4.Предоставление субсидий организациям, осуществляющим производство, распространение и тиражирование социально значимых программ в сфере электронных средств массовой информации |
Управление информационной политики администрации Губернатора Ульяновской области |
Февраль
|
Декабрь |
203/0113/8120100000 |
4000,0 |
Проведение конкурса распространителей (вещателей) электронных СМИ. Заключение соглашений с победителями конкурса. Перечисление средств субсидии победителям конкурса. |
Проведен конкурс распространителей (вещателей) электронных СМИ. Заключено соглашение с победителем конкурса. Перечислены средства субсидии победителю конкурса. Изготовлено в рамках контракта 88 сюжетов. |
||
|
2. Основное мероприятие «Профилактика экстремизма на национальной и религиозной почве» |
Правительство Ульяновской области |
|
|
203/0113 |
50,0 |
Х |
Х |
||
|
2.1. Организация распространения на региональных телеканалах социальной рекламы, направленной на профилактику экстремизма |
Правительство Ульяновской области |
Сентябрь |
декабрь |
203/0113/8120200000 |
50,0 |
Размещение социальной рекламы на региональных телеканалах |
Проведены торги. Заключен контракт. Размещена соц.реклама на 4 телеканалах. |
||
|
3. Основное мероприятие «Государственно-общественное партнерство в сфере реализации государственной национальной политики» |
Правительство Ульяновской области |
|
|
203/0113 |
7007,567 |
Х |
Х |
||
|
3.1.Проведение конкурса на соискание премии Губернатора Ульяновской области «За вклад в развитие межнациональных отношений в Ульяновской области» |
Правительство Ульяновской области |
Июль |
Декабрь |
203/0113/8120300000 |
40,0 |
Проведение ежегодного областного конкурса |
Конкурс проведён. Итоги подведены 4 ноября. Выплачены премии победителям. |
||
|
3.2.Предоставление по результатам конкурсов субсидий СО НКО, реализующим на территории Ульяновской области проекты в сфере укрепления гражданского единства и гармонизации межнациональных отношений, направленные в том числе на распространение знаний о народах России, проживающих в Ульяновской области, на формирование гражданского патриотизма, противодействие фальсификации истории, поддержку традиционных духовных и нравственных ценностей |
Правительство Ульяновской области |
Май |
Декабрь |
203/0113/81203R5160 |
6967,569 |
Предоставление по результатам конкурсных процедур субсидий СО НКО, реализующим на территории Ульяновской области проекты в сфере укрепления гражданского единства и гармонизации межнациональных отношений, направленные в том числе на распространение знаний о народах России, проживающих в Ульяновской области, на формирование гражданского патриотизма, противодействие фальсификации истории, поддержку традиционных духовных и нравственных ценностей (2 конкурса, в первом квартале, в третьем квартале) |
8 мая объявлен грантовый конкурс. С 10 мая по 10 июня осуществлялся приём заявок. 04 июля состоялось заседание конкурсной комиссии, 10 июля издано распоряжение. Заключено 22 соглашения на предоставление субсидий. По итогам реализации проекта возвращены средства субсидии в размере 5,72 руб. |
||
|
4. Основное мероприятие «Социально-культурная адаптация и интеграция мигрантов в Ульяновской области» |
Правительство Ульяновской области |
|
|
203/0113 |
110,0 |
Х |
Х |
||
|
4.1.Организация и проведение обучающих курсов для мигрантов, прибывающих в Ульяновскую область |
Правительство Ульяновской области |
Май |
декабрь |
203/0113/8120400000 |
50,0 |
Проведение курсов для иностранных граждан |
Проведены торги. Заключен контракт с УлГПУ. Обучение прошли 850 иностранных граждан. |
||
|
4.2.Организация издания брошюр информационно-справочного характера для мигрантов, прибывающих в Ульяновскую область |
Правительство Ульяновской области |
Сентябрь |
декабрь |
203/0113/8120400000 |
60,0 |
Изготовление брошюр для мигрантов |
Изготовлено 1000 брошюр для иностранных граждан, прибывающих в Ульяновскую область. |
||
|
5. Основное мероприятие «Этнокультурное развитие народов, проживающих на территории Ульяновской области» |
Министерство искусства и культурной политики Ульяновской области; Министерство молодежного развития Ульяновской области |
|
|
Х |
2232,433 |
Х |
Х |
||
|
5.1.Проведение социально значимых мероприятий, направленных на обеспечение духовно-нравственного воспитания населения, приуроченных к памятным датам и национальным праздникам народов, проживающих в Ульяновской области |
Министерство искусства и культурной политики Ульяновской области |
Январь |
декабрь |
255/0801/8120800000 |
2182,433 |
Запланировано: Открытие Года национального единства в Ульяновской области в рамках празднования Дня Симбирского края и 76-ой годовщины образования Ульяновской области , Март Празднование «ИльахырЧаршамба» в рамах международного праздника Новруз/Навруз, Открытый областной фестиваль татарских народных и самодеятельных театральных коллективов имени Бари Тарханова, III Областной детский фестиваль-конкурс мордовской культуры «Эрьгине» («Бусинка») День армянской культуры, Областной фестиваль-конкурс татарской песни «Сембер жыры-2019», Областной мордовский праздник «Шумбрат-2019», Областной чувашский праздник «Акатуй -2019», Татарский национальный праздник «Областной Сабантуй -2019», Народное гуляние, посвященное празднику Святой Троицы, V Всероссийский фестиваль-конкурс мордовского фольклора и декоративно-прикладного творчества «МастораваньМорот», День украинской культуры, Областной конкурс детского чувашского творчества «Чуваш ачи, сассуна пар», Областной фестиваль «Ламзурь» , Праздничный концерт посвящённый Дню народного единства, Областной татарский хореографический конкурс «Эпипэ», Всероссийский фестиваль «Нарспи», праздник «Накануне Рожденства», Областной межнациональный новый год |
Проведено: годовщины Открытие Года национального единства в Ульяновской области в рамках празднования Дня Симбирского края и 76-ой годовщины образования Ульяновской области (19.01),
Март Празднование «ИльахырЧаршамба» в рамах международного праздника Новруз/Навруз, Открытый областной фестиваль татарских народных и самодеятельных театральных коллективов имени Бари Тарханова, III Областной детский фестиваль-конкурс мордовской культуры «Эрьгине» («Бусинка») День армянской культуры, Областной фестиваль-конкурс татарской песни «Сембер жыры-2019», Областной мордовский праздник «Шумбрат-2019», Областной чувашский праздник «Акатуй -2019», Татарский национальный праздник «Областной Сабантуй -2019», Народное гуляние, посвященное празднику Святой Троицы (16.06), V Всероссийский фестиваль-конкурс мордовского фольклора и декоративно-прикладного творчества «МастораваньМорот», День украинской культуры (17.08), Областной конкурс детского чувашского творчества «Чуваш ачи, сассуна пар» (28.09), Областной фестиваль «Ламзурь» (11.10), Праздничный концерт посвящённый Дню народного единства (04.11),Областной татарский хореографический конкурс «Эпипэ» (22.11), Всероссийский фестиваль «Нарспи» (22.11), праздник «Накануне Рожденства» (24.12), Областной межнациональный новый год (24.12) |
||
|
5.2.Организация экскурсий на конкурсной основе для лучших обучающихся общеобразовательных организаций, находящихся на территории Ульяновской области, с посещением ими объектов культурного наследия (памятников истории и культуры) народов Российской Федерации |
Министерство молодежного развития Ульяновской области |
Август |
декабрь |
282/0707/8120800000 |
50,0 |
Организация экскурсий для лучших учащихся общеобразовательных организаций, находящихся на территории Ульяновской области, с целью обеспечения посещения ими объектов культурного наследия (памятников истории и культуры) народов России, проживающих в Ульяновской области |
Не проведено |
||
|
6.Основное мероприятие «Русский язык и языки народов России» |
Министерство образования и науки Ульяновской области |
|
|
Х |
82,6 |
|
|
||
|
6.1.Организация и проведение социально значимых мероприятий, направленных на укрепление статуса русского языка как государственного языка России |
Министерство образования и науки Ульяновской области |
Апрель, ноябрь |
Апрель, ноябрь |
273/0709/8121025210 |
82,6 |
Заключение контрактов. Проведение мероприятий |
Проведено: 05.04-Региональный этнографический диктант «Гордись Симбирским краем!» 15.04-12.10-Конкурс сочинений «Ульяновская область — только вперед!» в рамках регионального этапа Всероссийского конкурса сочинений 16.11-Этнографический Фестиваль-конкурс творчества народов Поволжья «Многоцветие земли Симбирской» на территории Ульяновской области |
||
|
7.Основное мероприятие «Российское казачество» |
Министерство искусства и культурной политики Ульяновской области |
|
|
Х |
193,9 |
|
|
||
|
7.1.Организация и проведение социально значимых мероприятий, направленных на развитие российского казачества на территории Ульяновской области |
Министерство искусства и культурной политики Ульяновской области |
Июнь, Декабрь |
Июнь, Декабрь |
255/0801/8120900000 |
193,9 |
Заключение контрактов. Проведение фестиваля 12 жемчужин, Областного фестиваля «Казачий курень» |
Проведены: Всероссийский казачий фестиваль «12 жемчужин» 910-12 июня), Областной фестиваль «Казачий курень» (15 декабря) |
||
|
Итого по подпрограмме |
|
|
|
|
13746,5 |
|
|
||
|
Подпрограмма«Развитие информационного пространства на территории Ульяновской области» на 2015– 2021 годы
|
|||||||||
|
1. Основное мероприятие «Мероприятия в сфере обеспечения деятельности юридических лиц, осуществляющих производство и выпуск теле-, радиопрограмм, связанных с освещением социально значимых событий общественной, экономической и культурной жизни в Ульяновской области» |
|
|
|
|
47858,08008 |
100% |
99,99% |
||
|
1.1. Производство продукции сетевого издания и предоставление доступа к нему |
Правительство Ульяновской области (начальник финансового управления администрации Губернатора Ульяновской области С.И.Будейкина, 41-24-05) |
Январь |
Декабрь |
203 1201 8130198701 621 241 |
3636,78008 |
Формирование государственного задания. Перечисление средств. Контроль исполнения государственного задания. 100% |
Сформировано государственное задание. Перечисление средств. Контроль исполнения государственного задания. Выполнение 100%. |
||
|
1.2. Обеспечение деятельности вещателей, функции и полномочия учредителя которых осуществляет правительство Ульяновской области |
Правительство Ульяновской области (начальник финансового управления администрации Губернатора Ульяновской области С.И.Будейкина, 41-24-05) |
Январь |
Декабрь |
203 1201 8130198703 621 241 |
35541,00000 |
Формирование государственного задания. Перечисление средств. Контроль исполнения государственного задания. 100% |
Формирование государственного задания. Перечисление средств. Контроль исполнения государственного задания. Выполнение 100%. |
||
|
1.3. Обеспечение деятельности ОГКУ «Телекомпания «Арсенал» |
Правительство Ульяновской области (начальник финансового управления администрации Губернатора Ульяновской области С.И.Будейкина, 41-24-05) |
Январь |
Декабрь |
203 1201 8130198710 |
8680,30000 |
Перечисление средств. 100% |
Перечисление средств (неисполнение 2598,40 рублей сложилось в связи с экономией по статьям 211 и 213, и скорректированной в сторону уменьшения суммой пени по страховым взносам). Выполнение 99,97%. |
||
|
2. Основное мероприятие «Мероприятия в сфере обеспечения деятельности юридических лиц, осуществляющих производство и выпуск периодических печатных изданий» |
|
|
|
|
109476,71992 |
100% |
100% |
||
|
Количество выпущенных печатных изданий средств массовой информации (штук) |
Правительство Ульяновской области (начальник департамента массовых коммуникаций управления информационной политики администрации Губернатора Ульяновской области В.А. Лучников, 32-10-60) |
Январь |
Декабрь |
х |
1494 |
х |
х |
||
|
2.1. Предоставление субсидий автономным учреждениям , осуществляющим деятельность в сфере печатных средств массовой информации, на выполнение государственного задания |
Правительство Ульяновской области (начальник финансового управления администрации Губернатора Ульяновской области С.И.Будейкина, 41-24-05) |
Январь |
Декабрь |
03 1202 8130298706 621 241 |
107409,46959 |
Формирование государственного задания. Перечисление средств. Контроль исполнения государственного задания. 100% |
Формирование государственного задания. Перечисление средств. Контроль исполнения государственного задания. Выполнение 100%. |
||
|
2.2.Предоставление субсидий областным автономным учреждениям, осуществляющим деятельность в сфере печатных средств массовой информации, на иные цели |
Правительство Ульяновской области (начальник финансового управления администрации Губернатора Ульяновской области С.И.Будейкина, 41-24-05) |
Январь |
Декабрь |
03 1202 8130298706 622 241 |
2067,25033 |
Субсидии областным автономным учреждениям в сфере периодических печатных средств массовой информации, на иные цели. 100% |
Субсидии областным автономным учреждениям в сфере периодических печатных средств массовой информации, на иные цели. Строка добавлена изменениями в ГП от 16.05.2019г Выполнение 100%. |
||
|
3. Основное мероприятие «Мероприятия в сфере информационной политики» |
|
|
|
|
2160,000000 |
100% |
98% |
||
|
Количество мероприятий, проведенных в сфере информационной политики (единиц) |
Правительство Ульяновской области (начальник Департамента массовых коммуникаций Управления информационной политики администрации Губернатора Ульяновской области В.А. Лучников, 32-10-60) |
Январь |
Декабрь |
х |
10 |
х |
х |
||
|
3.1 Проведение творческих конкурсов и тематических семинаров в сфере средств массовой информации |
Правительство Ульяновской области (заместитель Губернатора Ульяновской области Мартынова Н.Н., 41-25-62) |
Январь |
Декабрь |
203 1204 8130398707 244 |
700,00000 |
Закупки товаров, работ и услуг, необходимых для проведения творческих конкурсов и тематических семинаров в сфере средств массовой информации Заключение государственных контрактов. Проведение творческих конкурсов и тематических семинаров в сфере –информационной политики. 100% |
Закупки товаров, работ и услуг, необходимых для проведения творческих конкурсов и тематических семинаров в сфере средств массовой информации Заключение государственных контрактов. Проведение творческих конкурсов и тематических семинаров в сфере –информационной политики (неисполнение 42974,88 рублей, в связи с экономией расходов, сложившейся при проведении мероприятий, а также неисполнение платежей Минфином Ул обл. перед ООО Кеннект). Выполнение 93,9%. |
||
|
3.2. Проведение мероприятий, посвященных Дню российской печати |
Правительство Ульяновской области (заместитель Губернатора Ульяновской области Мартынова Н.Н. 41-25-62. Начальник финансового управления (бухгалтерии) администрации Губернатора Ульяновской области С.И.Будейкина, 41-24-05) |
Январь |
Март |
203 1204 8130398708 350 296 |
1460,0 |
Прием заявок на участие в конкурсе на присуждение премии в сфере журналистики. Проведение конкурса на присуждение премии в сфере журналистики. Выплата денежного поощрения победителям конкурса на присуждение премии. Закупка товаров, работ и услуг, необходимых для проведения мероприятий, посвященных Дню Российской печати. Проведение мероприятий, посвященных Дню Российской печати. 100% |
Проведен конкурс на присуждение премии в сфере журналистики. Часть средств, выделенных на данное мероприятие, осталась не разыгранной. Проведена закупка товаров, работ и услуг, необходимых для проведения мероприятий, посвященных Дню Российской печати. Проведены мероприятия посвященные Дню Российской печати. 100% |
||
|
Итого по подпрограмме |
|
|
|
|
159494,80000 |
|
|
||
|
Итого по программе |
|
|
|
|
195844,8 |
|
|
||
7. Сведения о внесённых изменениях в государственную программу (с нарастающим итогом).
|
|
|||
|
NN п/п |
Реквизиты нормативного правового акта об утверждении (внесении изменений) государственную программу |
Суть изменений (краткое изложение) |
Реквизиты акта (документа) об утверждении Плана-графика реализации государственной программы (изменений в него) |
|
1. |
Постановление Правительства Ульяновской области от 16.05.2019 №9/216-П «О внесении изменений в государственную программу Ульяновской области «Гражданское общество и государственная национальная политика в Ульяновской области» на 2014-2021 гг.
|
Преведение в соответствие с выделенными лимитами на 2019 год государственной программы Ульяновской области «Гражданское общество и государственная национальная политика в Ульяновской области» на 2014-2021 годы |
Изменения в план график утверждены 03.06.2019 |
|
2. |
Постановление Правительства Ульяновской области от 17.07.2019 г. № 14/342-П «О внесении изменений в государственную программу Ульяновской области «Гражданское общество и государственная национальная политика в Ульяновской области» на 2014-2021 гг.
|
Изменения в план граф график утверждены 15.08.2019 |
|
|
3. |
Постановление Правительства Ульяновской области от 09.10.2019 г. № 23/510-П «О внесении изменений в государственную программу Ульяновской области «Гражданское общество и государственная национальная политика в Ульяновской области» на 2014-2021 гг.
|
Изменения в план граф график утверждены 19.11.2019 |
|
|
4. |
Постановление Правительства Ульяновской области от 18.11.2019 г. № 27/607-П «О внесении изменений в государственную программу Ульяновской области «Гражданское общество и государственная национальная политика в Ульяновской области» на 2014-2021 гг.
|
Изменения в план граф график утверждены 19.11.2019 |
|
|
5. |
Постановление Правительства Ульяновской области от 16.12.2019 г. № 30/722-П«О внесении изменений в государственную программу Ульяновской области «Гражданское общество и государственная национальная политика в Ульяновской области» на 2014-2021 гг.
|
Х |
|


